Blog Archives
Jaringan Syaraf Tiruan untuk Memprediksi Jumlah Penduduk
Salah satu penerapan algoritma jaringan syaraf tiruan adalah untuk sistem prediksi (forecasting). Prediksi dapat dilakukan dalam bentuk urutan waktu (time series) atau dapat pula dilakukan dalam bentuk bukan urutan waktu.
Dalam sistem prediksi urutan waktu, data masukan adalah berupa beberapa data dalam kurun waktu tertentu, sedangkan data keluarannya adalah data pada kurun waktu berikutnya. Pada sistem prediksi ini data keluaran diasumsikan hanya dipengaruhi oleh data-data sebelumnya.
Contoh sistem prediksi urutan waktu:
sistem untuk memprediksi jumlah penduduk pada bulan tertentu di mana data masukannya adalah jumlah penduduk pada 12 bulan sebelumnya.
Untuk sistem prediksi bukan urutan waktu, data masukannya adalah berupa beberapa variabel data yang dianggap mempengaruhi nilai data keluaran, sedangkan data keluarannya adalah berupa data pada kurun waktu berikutnya. Pada sistem prediksi ini variabel-variabel yang mempengaruhi nilai data keluaran diikutsertakan untuk melakukan prediksi.
Contoh sistem prediksi bukan urutan waktu:
-read more->sistem untuk memprediksi jumlah penduduk pada bulan tertentu di mana data masukannya adalah jumlah penduduk pada 1 bulan sebelumnya, tingkat kesejahteraan penduduk, tingkat keamanan lingkungan, faktor politik, dan faktor-faktor demografi lainnya pada 1 bulan sebelumnya.
Pengolahan Citra Digital
Pengolahan Citra Digital (Digital Image Processing) merupakan bidang ilmu yang mempelajari tentang bagaimana suatu citra itu dibentuk, diolah, dan dianalisis sehingga menghasilkan informasi yang dapat dipahami oleh manusia.
Sebelum mempelajari lebih lanjut mengenai pengolahan citra digital, kita perlu mengetahui definisi dari citra itu terlebih dahulu.
Citra merupakan fungsi dari intensitas cahaya yang direpresentasikan dalam bidang dua dimensi.
Berdasarkan bentuk sinyal penyusunnya, citra dapat digolongkan menjadi dua jenis yaitu citra analog dan citra digital. Citra analog adalah citra yang dibentuk dari sinyal analog yang bersifat kontinyu, sedangkan citra digital adalah citra yang dibentuk dari sinyal digital yang bersifat diskrit.
Citra analog dihasilkan dari alat akuisisi citra analog, contohnya adalah mata manusia dan kamera analog. Gambaran yang tertangkap oleh mata manusia dan foto atau film yang tertangkap oleh kamera analog merupakan contoh dari citra analog. Citra tersebut memiliki kualitas dengan tingkat kerincian (resolusi) yang sangat baik tetapi memiliki kelemahan di antaranya adalah tidak dapat disimpan, diolah, dan diduplikasi di dalam komputer.
-read more->Segmentasi Warna menggunakan Algoritma Fuzzy C-Means Clustering
Fuzzy c-means clustering merupakan algoritma klustering yang mempartisi data berdasarkan pada jarak antara data masukan dengan pusat kluster terdekat. Sama seperti pada algoritma k-means clustering, pusat cluster selalu diupdate berulang-ulang hingga dihasilkan pembagian kluster yang optimal. Pada algoritma ini, perulangan didasarkan pada minimisasi fungsi objektif.
Berikut ini merupakan contoh aplikasi pemrograman matlab untuk melakukan segmentasi warna suatu citra digital menggunakan algoritma fuzzy c-means clustering. Citra yang digunakan adalah citra sky-grass.jpg yang memuat dua buah objek yaitu langit dan rumput seperti ditunjukkan pada gambar di bawah ini.
Model Ruang Warna Pengolahan Citra
Dalam bidang pengolahan citra digital dikenal berbagai macam ruang warna (color space) citra.
Yang paling umum adalah ruang warna RGB (Red, Green, Blue).
Ruang warna RGB mendefinisikan suatu warna berdasarkan tiga kanal (channel) warna yaitu merah, hijau, dan biru.
Ruang warna RGB untuk citra truecolor 24 bit diilustrasikan oleh gambar berikut:
-read more->
Cara menghitung koefisien korelasi menggunakan matlab
Koefisien korelasi merupakan suatu nilai yang digunakan untuk mengukur tingkat kedekatan hubungan antara dua variabel.
Koefisien korelasi memiliki nilai berkisar antara -1 sampai dengan +1.
Koefisien korelasi bernilai +1 berarti bahwa dua variabel berkorelasi sempurna antara satu dengan yang lain atau dapat dikatakan dua variabel tersebut identik.
Nilai positif (+) menunjukkan hubungan dua variabel yang sebanding atau berbanding lurus.
Koefisien korelasi bernilai 0 berarti bahwa dua variabel sama sekali tidak berhubungan/berkaitan satu sama lain.
Dan koefisien korelasi bernilai negatif (-) berarti bahwa dua variabel memiliki hubungan yang berbanding terbalik.
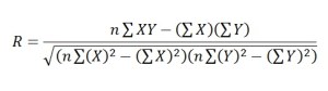
Koefisien korelasi dapat dihitung menggunakan persamaan berikut:
Berikut ini merupakan contoh aplikasi pemrograman matlab untuk menghitung koefisien korelasi antara dua variabel.
Sebagai contoh, misalnya kita ingin merancang bangun alat untuk mengukur suhu menggunakan sensor jenis LM35, maka setelah alat tersebut dibuat perlu kita validasi dengan hasil pengukuran alat ukur suhu standar seperti termometer digital.
Langkah-langkah menghitung koefisien korelasi menggunakan matlab adalah sebagai berikut:
1. Mempersiapkan data, pada contoh ini data terdiri dari hasil pengukuran suhu menggunakan alat dan hasil pengukuran suhu menggunakan termometer digital. Data disajikan dalam format .xlsx (excel)

-read more->
Background Subtraction dengan Metode Pengurangan Citra Grayscale
Deteksi kendaraan adalah salah satu tahapan yang harus dilakukan dalam proses identifikasi kendaraan. Contoh aplikasi pemrograman matlab untuk deteksi kendaraan dengan metode background subtraction pengurangan citra grayscale adalah sebagai berikut:
Langkah-langkahnya yaitu:
-read more->
Representasi Citra Digital dan Piksel Penyusunnya
Citra adalah representasi dari fungsi intensitas cahaya dalam bidang dua dimensi. Berdasarkan sinyal pembentuknya, citra dibedakan menjadi dua jenis yaitu citra analog dan citra digital.
1. Citra Analog
Citra analog merupakan citra yang terbentuk dari sinyal kontinyu. Nilai intensitas cahaya pada citra analog memiliki range antara 0 s.d ~. Alat akuisisi citra analog antara lain mata manusia dan kamera analog.
2. Citra Digital
Citra digital merupakan citra yang terbentuk dari sinyal diskrit. Nilai intensitas cahaya pada citra digital bergantung pada kedalaman bit yang menyusunnya (materi lebih lanjut mengenai kedalaman bit suatu citra dapat dilihat pada laman berikut: Kedalaman Bit Suatu Citra Grayscale). Alat akuisisi citra digital antara lain yaitu kamera digital, smartphone, webcam, scanner, mikroskop digital, pesawat radiodiagnostik seperti CT Scan, CR, MRI, USG, dll.
Dalam bidang dua dimensi, citra dibentuk oleh sekumpulan picture element (pixel) yang memiliki dua informasi penting yaitu koordinat piksel (x,y) dan nilai intensitas piksel f(x,y) (materi lebih lanjut mengenai piksel sebagai penyusun citra digital dapat dilihat pada laman berikut: Pengolahan Citra Digital).
Berikut ini merupakan contoh aplikasi pemrograman matlab mengenai representasi citra digital dan piksel penyusunnya:
1. Citra digital 1-bit (2 derajat keabuan)
Pada citra ini nilai intensitas citra dibagi menjadi 2^1 = 2 derajat keabuan yaitu hitam (0) dan putih (1). Citra jenis ini disebut juga dengan citra biner (binary image).
Pengolahan Citra Digital (RGB, Grayscale, dan Biner) Menggunakan GUI Matlab
Berdasarkan jenis warnanya, citra digital dapat dibedakan menjadi tiga jenis yaitu citra RGB, citra grayscale, dan citra biner. Citra RGB (Red, Green, Blue) merupakan citra yang nilai intensitas pikselnya tersusun oleh tiga kanal warna yaitu merah, hijau, dan biru. Citra grayscale adalah citra yang nilai intensitas pikselnya berdasarkan derajat keabuan. Sedangkan citra biner adalah citra yang hanya memiliki dua nilai intensitas yaitu 0 (hitam) dan 1 (putih). Materi lebih lanjut mengenai dasar-dasar citra digital dapat dilihat pada laman berikut ini: Pengolahan Citra dan Histogram Citra.
Berikut ini merupakan contoh aplikasi pemrograman GUI Matlab untuk dasar-dasar pengolahan citra digital. Koding dapat dijalankan minimal menggunakan matlab r2014b (karena menggunakan komponen baru yaitu uitab dan fungsi baru yaitu histogram)
1. Membaca citra RGB dan menampilkan kanal merah

True Color and Pseudo Color
Citra truecolor merupakan citra yang memiliki warna sejati yaitu warna yang berasal dari kombinasi warna dasar merah, hijau, dan biru. Citra truecolor 24-bit memiliki kombinasi warna sebanyak 2^24 atau 16.777.216 warna yang tersusun dari tiga buah kanal warna (merah, hijau, dan biru) di mana masing-masing kanal warna memiliki range nilai intensitas sebesar 2^8 atau 256 (8-bit).
Berikut ini merupakan contoh citra truecolor 24-bit beserta kanal-kanal warna penyusunnya:
1. Citra truecolor 24-bit (Truecolor Image 24-bit)

2. Kanal Merah 8-bit (Red Channel 8-bit)
-read more->
Cara Menghitung Luas , Keliling , dan Centroid suatu Citra
Proses pengenalan objek dalam citra umumnya membutuhkan suatu ciri yang dapat membedakan antara objek yang satu dengan objek lainnya. Ciri yang dapat diekstrak antara lain adalah ciri ukuran (luas dan keliling) dan posisi (koordinat centroid) dari suatu objek.
Berikut ini merupakan contoh aplikasi pemrograman matlab untuk menghitung centroid, luas, dan keliling objek dalam suatu citra grayscale. Centroid merupakan koordinat titik tengah dari suatu objek. Luas merupakan banyaknya piksel yang menyusun suatu objek. Sedangkan keliling merupakan banyaknya piksel yang berada pada boundary objek. Hasil penghitungan geometris tersebut dapat digunakan sebagai ciri masukan dalam tahapan pengenalan pola morfologi/ bentuk.
Langkah-langkah pemrograman untuk menghitung luas, keliling, dan centroid suatu citra adalah sebagai berikut:
1. Membaca dan menampilkan citra grayscale

-read more->



















































