Monthly Archives: April 2016
k-Nearest Neighbor (k-NN) Menggunakan Matlab
Algoritma k-nearest neighbor (k-NN atau KNN) merupakan sebuah algoritma untuk melakukan klasifikasi terhadap objek berdasarkan data pembelajaran yang jaraknya paling dekat dengan objek tersebut.
Ilustrasi dari metode yang digunakan oleh algoritma k-nn ditunjukkan pada gambar di bawah ini:
Cara menghitung koefisien korelasi menggunakan matlab
Koefisien korelasi merupakan suatu nilai yang digunakan untuk mengukur tingkat kedekatan hubungan antara dua variabel.
Koefisien korelasi memiliki nilai berkisar antara -1 sampai dengan +1.
Koefisien korelasi bernilai +1 berarti bahwa dua variabel berkorelasi sempurna antara satu dengan yang lain atau dapat dikatakan dua variabel tersebut identik.
Nilai positif (+) menunjukkan hubungan dua variabel yang sebanding atau berbanding lurus.
Koefisien korelasi bernilai 0 berarti bahwa dua variabel sama sekali tidak berhubungan/berkaitan satu sama lain.
Dan koefisien korelasi bernilai negatif (-) berarti bahwa dua variabel memiliki hubungan yang berbanding terbalik.
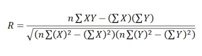
Koefisien korelasi dapat dihitung menggunakan persamaan berikut:
Berikut ini merupakan contoh aplikasi pemrograman matlab untuk menghitung koefisien korelasi antara dua variabel.
Sebagai contoh, misalnya kita ingin merancang bangun alat untuk mengukur suhu menggunakan sensor jenis LM35, maka setelah alat tersebut dibuat perlu kita validasi dengan hasil pengukuran alat ukur suhu standar seperti termometer digital.
Langkah-langkah menghitung koefisien korelasi menggunakan matlab adalah sebagai berikut:
1. Mempersiapkan data, pada contoh ini data terdiri dari hasil pengukuran suhu menggunakan alat dan hasil pengukuran suhu menggunakan termometer digital. Data disajikan dalam format .xlsx (excel)

-read more->
Cara membuat program executable (.exe) dari GUIDE Matlab
Dalam membuat program aplikasi menggunakan GUIDE Matlab, terkadang kita ingin menjalankan aplikasi tersebut pada komputer yang tidak terinstall Matlab.
Oleh karena itu, program GUIDE Matlab tersebut perlu kita konversi terlebih dahulu menjadi program aplikasi executable (.exe) sehingga program aplikasi dapat kita jalankan pada komputer yang tidak terinstall Matlab.
Langkah-langkahnya adalah sebagai berikut:
1. Persiapkan file GUIDE Matlab yang ingin kita convert (agar tampilan program semakin menarik, bila perlu buatlah icon dan splash screen program berupa file berformat .jpg, jika tidak, maka default icon dan default splash screen yang akan digunakan)

Akuisisi citra digital menggunakan webcam
Matlab (Matrix Laboratory) merupakan salah satu perangkat lunak yang mendukung bidang pengolahan citra digital. Dalam bidang tersebut pada umumnya diawali dengan proses akuisisi citra digital.
Proses akuisisi citra digital dilakukan dengan cara menangkap (capture) atau memindai (scan) citra analog kemudian mengkonversinya menjadi citra digital agar dapat disimpan dan juga diolah melalui komputer.
Salah satu alat akuisisi citra digital yang sering digunakan adalah webcam.
Dalam software Matlab, proses akuisisi citra digital menggunakan webcam dapat dilakukan dengan terlebih dahulu menginstal driver Image Acquisition Support Packages for Hardware Adaptors.
Ada cukup banyak driver yang perlu diinstal yaitu sebagai berikut:
| Adaptor Name | Support package name in list | Contents |
| Windows Video (winvideo) | OS Generic Video Interface | MATLAB files to use Windows Video, Macintosh Video, or Linux Video cameras with the toolbox. The correct OS files will be installed, depending on your system. |
| Kinect for Windows (kinect) | Kinect for Windows Sensor | MATLAB files to use Kinect for Windows cameras with the toolbox
Third party files – Kinect for Windows Runtime |
| QImaging (qimaging) | QImaging Hardware | MATLAB files to use QImaging cameras with the toolbox
Third party files – QImaging QCam |
| DALSA IFC (dalsaifc) | Teledyne DALSA IFC Hardware | MATLAB files to use DALSA IFC cameras with the toolbox |
| DALSA Sapera (dalsasapera) | Teledyne DALSA Sapera Hardware | MATLAB files to use DALSA Sapera cameras with the toolbox |
| GigE Vision (gige) | GigE Vision Hardware | MATLAB files to use GigE Vision cameras with the toolbox |
| Matrox (matrox) | Matrox Hardware | MATLAB files to use Matrox cameras with the toolbox |
| DCAM (dcam) | DCAM Hardware | MATLAB files to use DCAM cameras with the toolbox
Third party files – CMU DCAM on Windows driver file |
| GenICam GenTL (gentl) | GenICam Interface | MATLAB files to use GenTL cameras with the toolbox |
| Point Grey (pointgrey) | Point Grey Hardware | MATLAB files to use Point Grey cameras with the toolbox
Third party files – Point Grey FlyCapture |
| Linux Video (linuxvideo) | OS Generic Video Interface | MATLAB files to use Windows Video, Macintosh Video, or Linux Video cameras with the toolbox. The correct OS files will be installed, depending on your system. |
| Macintosh Video (macvideo) | OS Generic Video Interface | MATLAB files to use Windows Video, Macintosh Video, or Linux Video cameras with the toolbox. The correct OS files will be installed, depending on your system. |
| Data Translation (dt) | Data Translation Frame Grabbers | MATLAB files to use Data Translation hardware with the toolbox |
| Hamamatsu (hamamatsu) | Hamamatsu Hardware | MATLAB files to use Hamamatsu cameras with the toolbox |
| National Instruments (ni) | NI Frame Grabbers | MATLAB files to use NI hardware with the toolbox
Third party files – NI-IMAQ files |
Langkah-langkah untuk menginstal driver-driver tersebut adalah:
1. Klik tool ‘Add-Ons’ pada home tool, kemudian pilih ‘Get Hardware Support Packages’

















































