Pengenalan logika AND
Berikut ini merupakan algoritma pengenalan pola sederhana untuk mengenali pola logika AND menggunakan Jaringan Syaraf Tiruan.
Tabel Kebenaran Logika AND

1. Mempersiapkan input dan target
input = [0 0 1 1;0 1 0 1]; target = [0 0 0 1];
2. Membangun jaringan perceptron
net = newp(input,target);
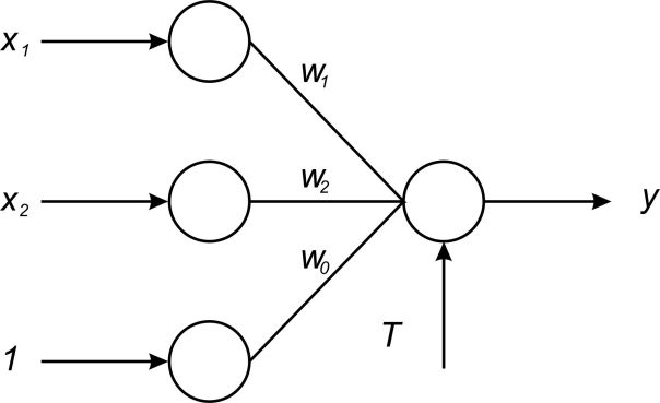
arsitektur jaringan yang dibangun adalah seperti pada gambar berikut
fungsi aktivasi yang digunakan yaitu step biner (‘hardlim’)
3. Melatih jaringan
net.trainParam.epochs = 10; net = train(net,input,target);
4. Mengecek keluaran jaringan
output = sim(net,input)
sehingga diperoleh nilai keluaran seperti pada tampilan berikut:

Nilai keluaran yang dihasilkan 100% sesuai dengan nilai keluaran dari logika AND yang diinginkan. Hal tersebut menunjukkan bahwa jaringan syaraf tiruan perceptron sangat baik dalam mengenali pola logika AND.
Posted on June 28, 2013, in Data mining, Pengenalan Pola and tagged ann menggunakan matlab, aplikasi jaringan syaraf tiruan menggunakan matlab, artificial neural network menggunakan matlab, contoh program matlab jaringan syaraf tiruan, jaringan syaraf tiruan dan pemrogramannya menggunakan matlab, jaringan syaraf tiruan matlab, jaringan syaraf tiruan menggunakan matlab, jaringan syaraf tiruan perceptron menggunakan matlab, jaringan syaraf tiruan sederhana, jst perceptron menggunakan matlab, jst sederhana menggunakan matlab, logika and menggunakan jst, pengenalan pola logika AND. Bookmark the permalink. 9 Comments.


















































apakah input dan target bisa dengan angka -1 ?
Bisa dengan angka apa saja
Tidak masalah
kok saya mencoba kasus yang sama (AND) dengan inputan dan target bipolar tidak jadi, kira-kira kenapa ya pak?
Bisa dicoba terlebih dahulu
Sudah saya coba dengan cara diatas, untuk epoch tidak berhenti bahkan saat saya set ke 1000 sedangkan ketika dicoba hitung manual hanya memerlukan 2 epoch saja kira-kira kenapa ya pak?
Bisa dicoba dicek kembali perhitungan manualnya
terimakasih banyak ilmunya kak
Pingback: Pengertian Jaringan Syaraf Tiruan, Fuzzy Logic dan Algoritma Genetika – andre
Pingback: Kecerdasan Komputasional – Judul Situs